Open Access

Fig. 2

image

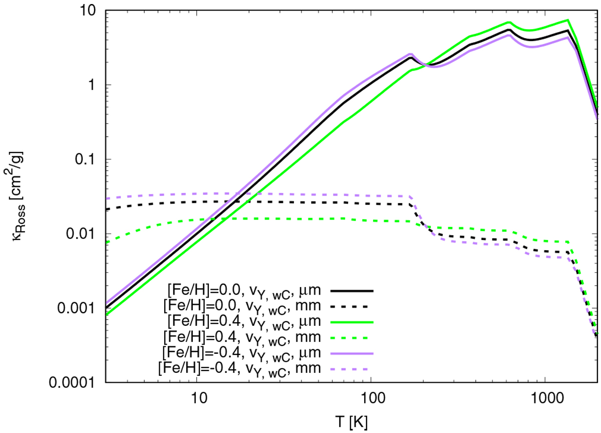
Rosseland mean opacities κross as a function of temperature for three different mixtures quantified by [Fe/H]; see Table 2. The opacities themselves are rescaled to a dust-to-gas ratio of 0.01, as before. The [Fe/H] = 0 composition (black line) reflects the same chemical composition as in Fig. 1. By changing the chemical compositions, the changes in opacity at the different ice lines vary.

Current usage metrics show cumulative count of Article Views (full-text article views including HTML views, PDF and ePub downloads, according to the available data) and Abstracts Views on Vision4Press platform.

Data correspond to usage on the plateform after 2015. The current usage metrics is available 48-96 hours after online publication and is updated daily on week days.

Initial download of the metrics may take a while.