Open Access

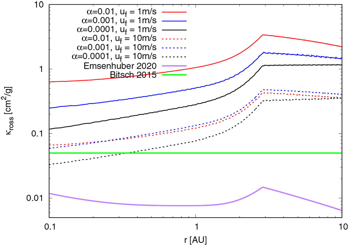
Fig. 4

image

Rosseland mean opacities κross as a function of orbital distance in our disc model using a 50:50 ratio between water and silicates. The opacities have been calculated using the full grain size distributions. We use different α and fragmentation velocities uf to probe theinfluence of the grain sizes on the opacities. If the grains grow larger, the opacities are reduced.

Current usage metrics show cumulative count of Article Views (full-text article views including HTML views, PDF and ePub downloads, according to the available data) and Abstracts Views on Vision4Press platform.

Data correspond to usage on the plateform after 2015. The current usage metrics is available 48-96 hours after online publication and is updated daily on week days.

Initial download of the metrics may take a while.