Free Access

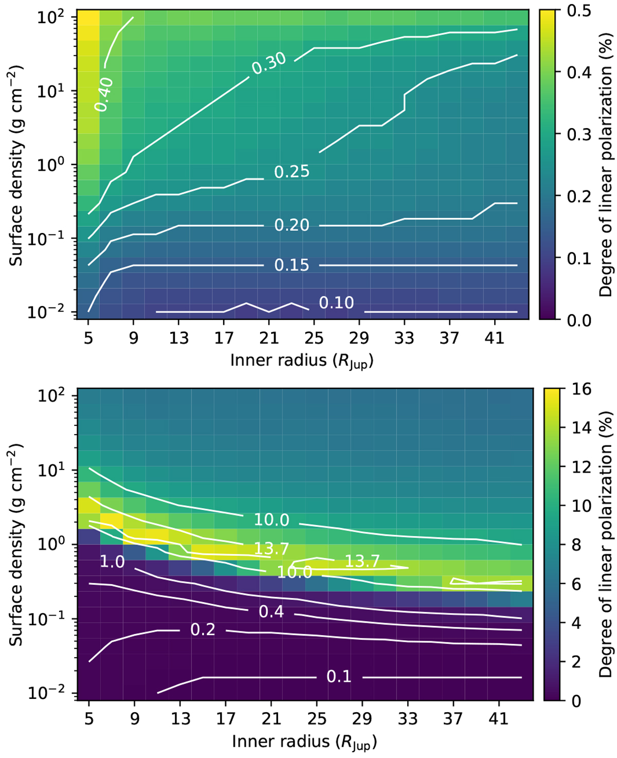
Fig. 14

image

Dependence of the integrated degree of linear polarization on the inner radius of the circumsubstellar disk and the surface density of the dust at the inner radius. The grid of radiative transfer models is shown for a disk inclination of 70° (top) and 80° (bottom).

Current usage metrics show cumulative count of Article Views (full-text article views including HTML views, PDF and ePub downloads, according to the available data) and Abstracts Views on Vision4Press platform.

Data correspond to usage on the plateform after 2015. The current usage metrics is available 48-96 hours after online publication and is updated daily on week days.

Initial download of the metrics may take a while.