Free Access

Fig. 7

image

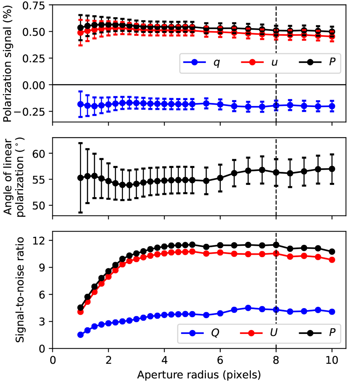
Normalized Stokes parameters q and u and degree of linear polarization (top), angle of linear polarization (center), and S/N in q, u, and the degree of linear polarization (bottom) of DH Tau B as a function of aperture radius for the 2019-10-24 data set of DH Tau.The uncertainties of the measured values are shown with error bars. The final selected aperture radius of 8 pixels is indicated with the dashed vertical lines.

Current usage metrics show cumulative count of Article Views (full-text article views including HTML views, PDF and ePub downloads, according to the available data) and Abstracts Views on Vision4Press platform.

Data correspond to usage on the plateform after 2015. The current usage metrics is available 48-96 hours after online publication and is updated daily on week days.

Initial download of the metrics may take a while.