Free Access

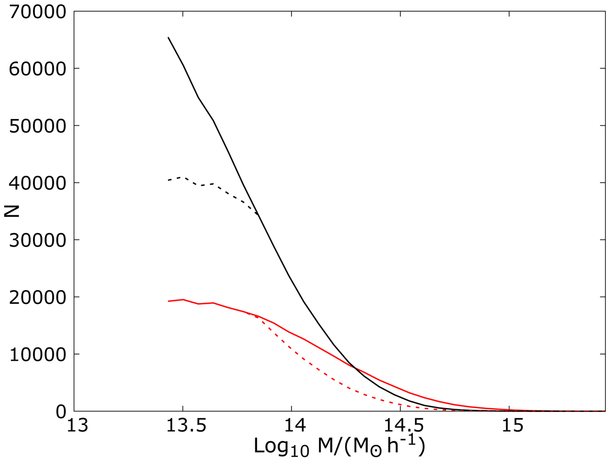
Fig. 2.

image

Example of the original and the resulting AFs, after the matching procedure is applied, in order to obtain a mass-independent comparison of the dynamical parameters between two isolation bins, 1 < Risol/rvir < 4 (red) and 4 < Risol/rvir < 7 (black). On the vertical axis, N is the number of halos. The solid lines correspond to the original AFs and the dashed lines to the AFs derived by the matching procedure. We note that a common shape of the AF between any two isolation bins is obtained and not the same overall number of halos.

Current usage metrics show cumulative count of Article Views (full-text article views including HTML views, PDF and ePub downloads, according to the available data) and Abstracts Views on Vision4Press platform.

Data correspond to usage on the plateform after 2015. The current usage metrics is available 48-96 hours after online publication and is updated daily on week days.

Initial download of the metrics may take a while.