Open Access

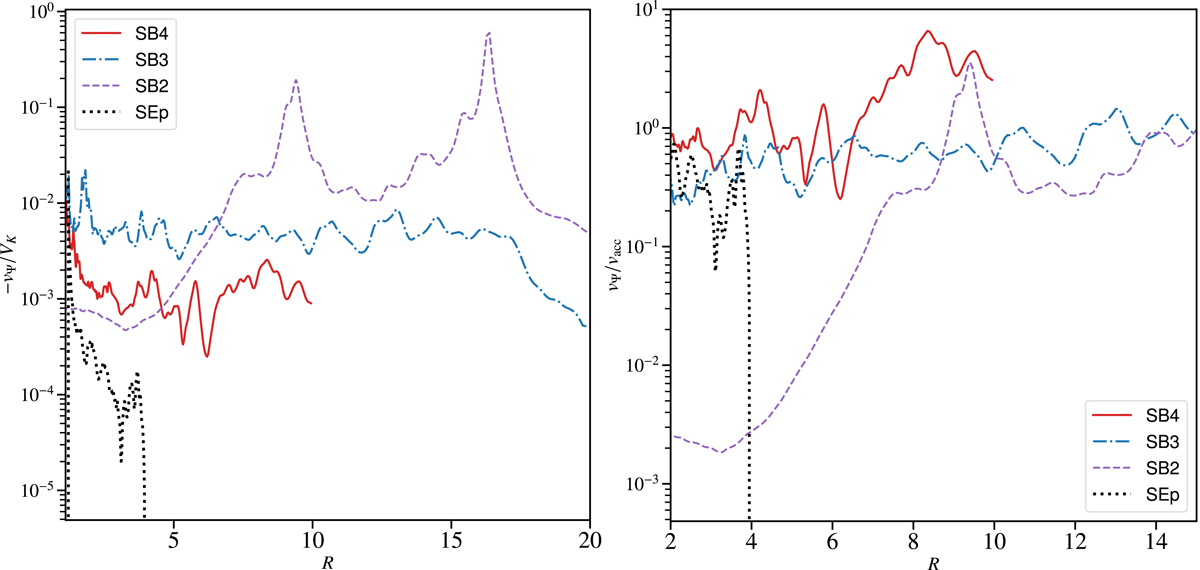
Fig. 16.

image

Left: field advection velocity as a function of radius normalised to the Keplerian velocity. Right: ratio of field and mass advection velocities as a function of radius. We truncate the advection velocity where we can no longer measure the drift of the magnetic field lines. The truncation radii corresponds to R = 3.5, R = 10, R = 20, for SEp, SB4 and SB3 respectively.

Current usage metrics show cumulative count of Article Views (full-text article views including HTML views, PDF and ePub downloads, according to the available data) and Abstracts Views on Vision4Press platform.

Data correspond to usage on the plateform after 2015. The current usage metrics is available 48-96 hours after online publication and is updated daily on week days.

Initial download of the metrics may take a while.