Open Access

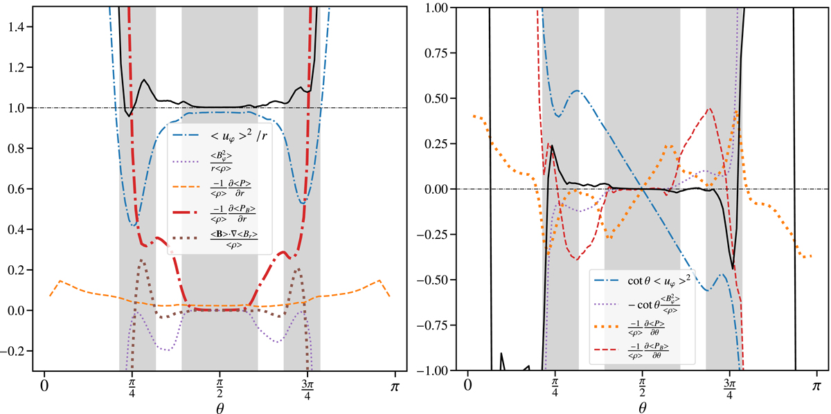
Fig. 6.

image

Left: radial equilibrium (Eq. (27)). Right: latitudinal equilibrium (Eq. (28)) as a function of the latitudinal coordinate θ. The terms are averaged between r1 = 8 and r2 = 14 after being normalised to g (left) or gr (right). If the system is in equilibrium the sum of the terms, the black solid line, should be equal to 1 (left) or 0 (right). The shaded areas denotes the turbulent regions.

Current usage metrics show cumulative count of Article Views (full-text article views including HTML views, PDF and ePub downloads, according to the available data) and Abstracts Views on Vision4Press platform.

Data correspond to usage on the plateform after 2015. The current usage metrics is available 48-96 hours after online publication and is updated daily on week days.

Initial download of the metrics may take a while.