Open Access

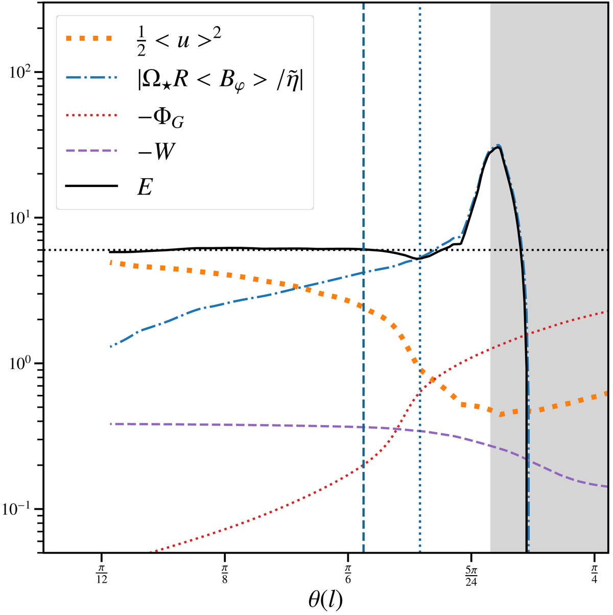
Fig. 9.

image

Bernoulli invariant and its components for the field line originating at R0 = 6 as functions of the latitudinal coordinate θ. All quantities are normalised to . The shaded grey area corresponds to the turbulent atmosphere, the end of the turbulent atmosphere coincides with the SM surfaces. The vertical lines correspond to the different critical surfaces. The vertical dashed line is the fast magneto-sonic surface while the vertical dotted line is the Alfvénic surface, consistent with the notation Fig. 8.

Current usage metrics show cumulative count of Article Views (full-text article views including HTML views, PDF and ePub downloads, according to the available data) and Abstracts Views on Vision4Press platform.

Data correspond to usage on the plateform after 2015. The current usage metrics is available 48-96 hours after online publication and is updated daily on week days.

Initial download of the metrics may take a while.