Free Access

Fig. 1

image

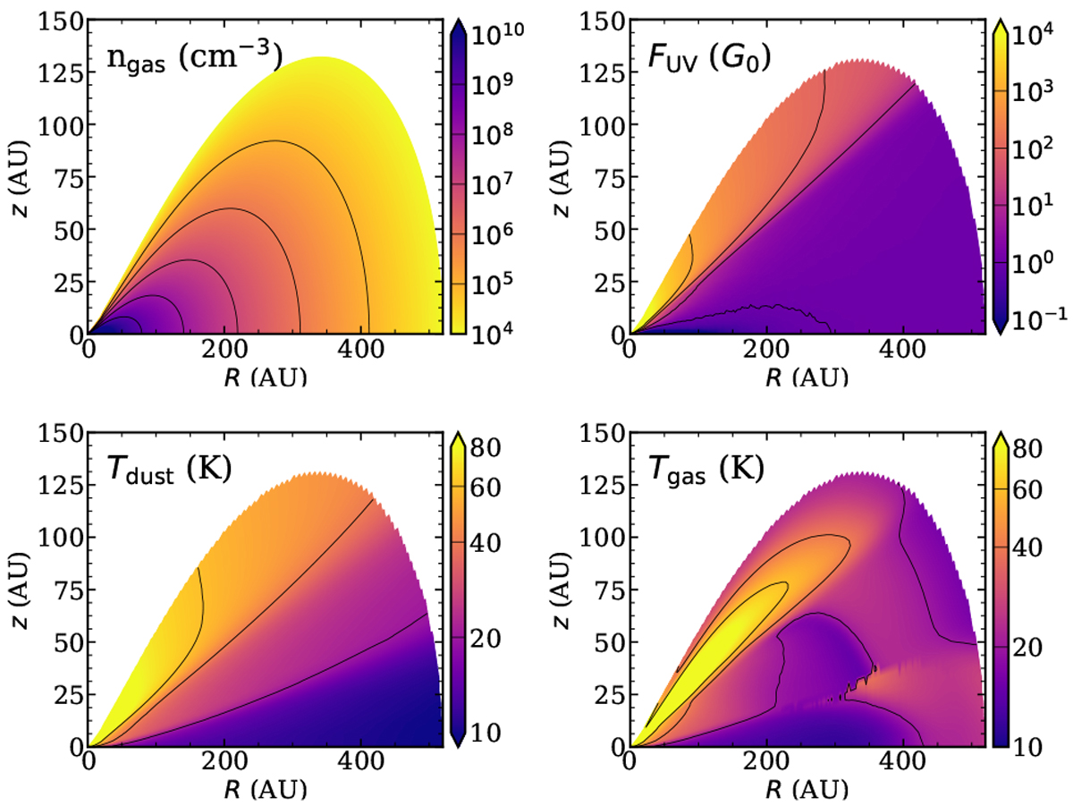
Two-dimensional profiles of gas density, UV flux, dust temperature, and gas temperature for our fiducial model: a 10−2 M disk with ψ = 0.2, hc = 0.1 surrounding a T Tauri star. The UV flux is plotted in units of the mean interstellar radiation field (G0, Draine 1978). Temperature only shows a limited range to highlight the cold outer disk region.

Current usage metrics show cumulative count of Article Views (full-text article views including HTML views, PDF and ePub downloads, according to the available data) and Abstracts Views on Vision4Press platform.

Data correspond to usage on the plateform after 2015. The current usage metrics is available 48-96 hours after online publication and is updated daily on week days.

Initial download of the metrics may take a while.