Free Access

Fig. B.2

image

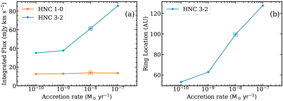
(a) Disk-integrated line fluxes for models with different accretion rates, which are a measure of UV luminosity. (b) Emission peak location change for the HNC 3−2 line, which is sensitive to UV radiation. The fiducial model results are marked as open squares.

Current usage metrics show cumulative count of Article Views (full-text article views including HTML views, PDF and ePub downloads, according to the available data) and Abstracts Views on Vision4Press platform.

Data correspond to usage on the plateform after 2015. The current usage metrics is available 48-96 hours after online publication and is updated daily on week days.

Initial download of the metrics may take a while.