Free Access

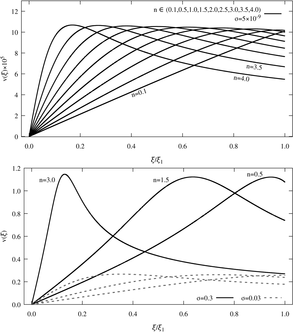
Fig. 1.

image

Polytrope velocity profiles. Top: types of velocity radial profiles in the interior of polytropic spheres. The dependence of the radial velocity profiles on the polytropic index n for fixed relativistic parameter σ typical for the dwarf-galaxy polytropes are given. Bottom: profiles given for fixed representative values of n and varying relativistic parameter σ to demonstrate that in the second case the variations keep the character of the profile but shift their range.

Current usage metrics show cumulative count of Article Views (full-text article views including HTML views, PDF and ePub downloads, according to the available data) and Abstracts Views on Vision4Press platform.

Data correspond to usage on the plateform after 2015. The current usage metrics is available 48-96 hours after online publication and is updated daily on week days.

Initial download of the metrics may take a while.