Free Access

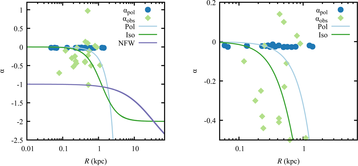
Fig. 10.

image

Inner slope of the DM density profiles α against the inner radius for polytropic sphere and pseudo-isothermal model. The blue points correspond to the mean value of inner slope αpol within the break radius for each dwarf galaxy. Similarly, the rhombus represents the inner slope αobs within the radius derived from the observational data. The typical behaviour of the slope α against radius for the polytropical sphere, pseudo-isothermal, and NFW models are also presented. On the left side the profile of whole maximal radius of a specific galaxy is illustrated, while on the right side a closer view is presented.

Current usage metrics show cumulative count of Article Views (full-text article views including HTML views, PDF and ePub downloads, according to the available data) and Abstracts Views on Vision4Press platform.

Data correspond to usage on the plateform after 2015. The current usage metrics is available 48-96 hours after online publication and is updated daily on week days.

Initial download of the metrics may take a while.