Free Access

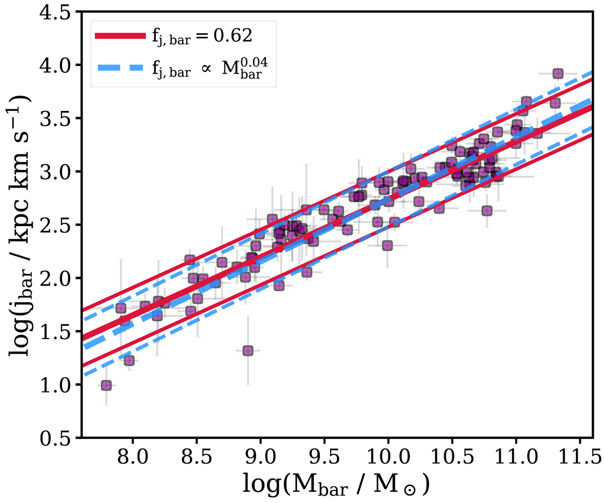
Fig. 8.

image

Observed jbar − Mbar plane (magenta points) compared with the outcome from Eq. (8) after assuming a constant (solid red line) or mass-dependent (dashed blue line) fj, bar. The lines below and above each relation show their scatter, coming from the scatter on λ and on the stellar-to-halo mass relation.

Current usage metrics show cumulative count of Article Views (full-text article views including HTML views, PDF and ePub downloads, according to the available data) and Abstracts Views on Vision4Press platform.

Data correspond to usage on the plateform after 2015. The current usage metrics is available 48-96 hours after online publication and is updated daily on week days.

Initial download of the metrics may take a while.