Free Access

Fig. 4

image

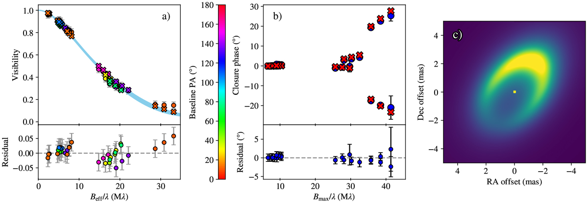
Results of our model fitting for the L-band data with the asymmetric ring model: fits to visibilities against the deprojected baseline length in which the effect of the object inclination is removed (left), fits to closure phases (middle), and the best-fit model image at 3.2 μm (right). Baseline lengths are expressed in spatial frequency units. Data points are indicated by circles, model values by crosses. Left panel: symbols are color coded for the baseline position angle. The blue shaded area on the left panel represents the range of model visibility functions taken at different baseline position angles, at 3.2 μm wavelength.

Current usage metrics show cumulative count of Article Views (full-text article views including HTML views, PDF and ePub downloads, according to the available data) and Abstracts Views on Vision4Press platform.

Data correspond to usage on the plateform after 2015. The current usage metrics is available 48-96 hours after online publication and is updated daily on week days.

Initial download of the metrics may take a while.