Free Access

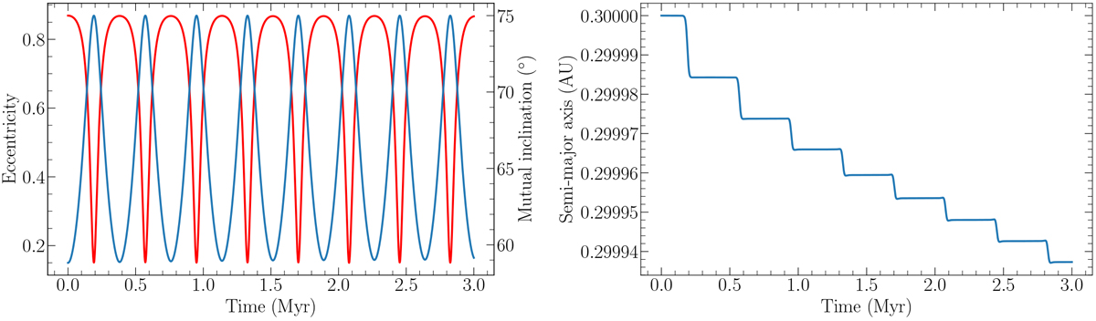
Fig. 4

image

Download original image

Secular evolution over 3 Myr of the test system with non-null radii and a distant perturber. The assumed parameters are: Ms = 1 M, Rs = 1 R, Mpl = 0.06Mjup, Rpl = 0.4Rjup, and Mpert = 1Mjup. The initial values are: e = 0.15, a = 0.3 AU, i = 0°, and ψ = 0° for the main planet and epert = 0.01, apert = 5 AU, and ipert = 75° for the perturber. Left: eccentricity (blue) and mutual inclination (red). Right: semi-major axis.

Current usage metrics show cumulative count of Article Views (full-text article views including HTML views, PDF and ePub downloads, according to the available data) and Abstracts Views on Vision4Press platform.

Data correspond to usage on the plateform after 2015. The current usage metrics is available 48-96 hours after online publication and is updated daily on week days.

Initial download of the metrics may take a while.