Free Access

Fig. 9

image

Download original image

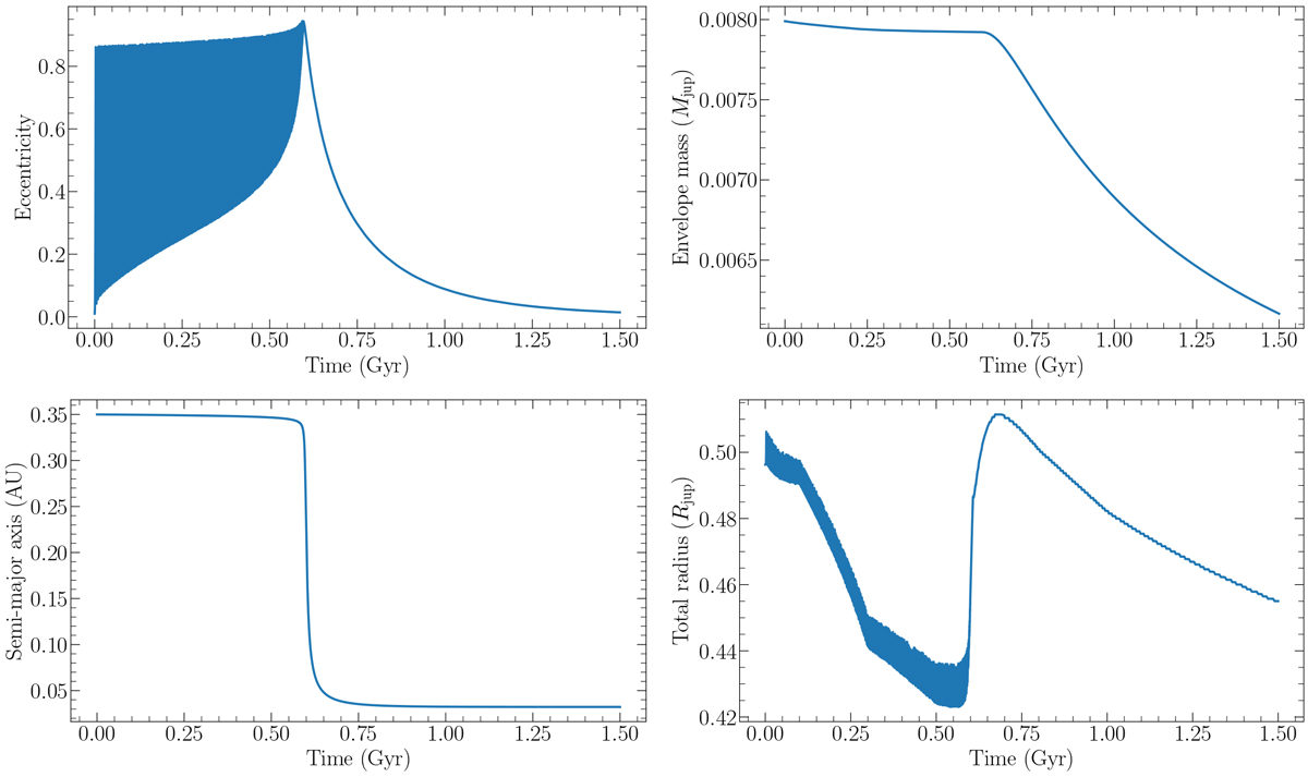
Secular evolution of the GJ436 system. The simulation was performed including both dynamical features and an atmosphericstructure. Photo-evaporation is active. See text for initial conditions. Top left: eccentricity as a function of time. Top right: mass of the envelope as a function of time. Bottom left: semi-major axis as a function of time. Bottom right: planetary radius as a function of time.

Current usage metrics show cumulative count of Article Views (full-text article views including HTML views, PDF and ePub downloads, according to the available data) and Abstracts Views on Vision4Press platform.

Data correspond to usage on the plateform after 2015. The current usage metrics is available 48-96 hours after online publication and is updated daily on week days.

Initial download of the metrics may take a while.