Fig. 9

image

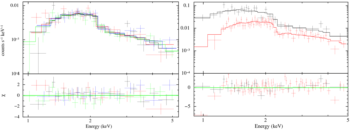
eROSITA spectra of XMMU J053108.3−690923 from Obs. 3. Left: average spectra are shown from TM1 (black), TM2 (red), TM3 (green), and TM6 (blue) together with the best-fit model as histograms. Right: simultaneous spectral fit from the flaring (black) and non-flaring (red) intervals using combined spectra from the four telescope modules. For both cases, the residuals are plotted in the lower panels.

Current usage metrics show cumulative count of Article Views (full-text article views including HTML views, PDF and ePub downloads, according to the available data) and Abstracts Views on Vision4Press platform.

Data correspond to usage on the plateform after 2015. The current usage metrics is available 48-96 hours after online publication and is updated daily on week days.

Initial download of the metrics may take a while.