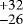
Table 1
Experiments and results.
| Species | T | N0 | ρ (a) | Thickness | σdes | Nd | Depth ld | σs | rs∕rd | |
|---|---|---|---|---|---|---|---|---|---|---|
| (K) | (1016cm−2) | (g cm−3) | (μm) | (nm2) | (× 103) | (1016 cm−2) | layers | (nm2) | ||
| H+ at 100 keV; Se = 46 eV / 1015 CO2 moleculescm−2 (Raut & Baragiola 2013) | ||||||||||
| CO2 | 25 | 50 | 1.1 | 0.33 | - | 1.5 ± 0.5 × 10−2 | 0.15 |
1-15 | – | – |
| 40Ca9+ at 38.4 MeV; Se = 1919.1 eV / 1015 CO2 moleculescm−2 (this work) | ||||||||||
| CO2 | 9 | 110 | 1.0 | 0.80 | 6.3 ± 0.6 | 15.5 ± 3.6 | 6.7 ± 4.6 | 101 ± 69 | 26.8 |
2.12 |
| CO2 | 9 | 58 | 1.0 | 0.42 | 6.8 ± 0.5 | 13.7 ± 8.0 | 12.8 ± 6.2 | 224 ± 108 | 10.7 |
1.26 |
| CO2 | 9 | 15.4 | 1.0 | 0.11 | – | – | – | – | – | |
| 58Ni9+ at 33 MeV; Se = 2487.8 eV / 1015 CO2 moleculescm−2 (this work) | ||||||||||
| CO2 | 9 | 228 | 1.0 | 1.67 | 10.7 ± 1.9 | 48.2 ± 17.0 | 12.9 ± 6.8 | 225 ± 119 | 37.4 |
1.87 |
| CO2 | 9 | 70 | 1.0 | 0.51 | 9.2 ± 4.7 | 37.6 ± 23.8 | 15.6 ± 7.2 | 272 ± 126 | 24.1 |
1.47 |
| CO2 | 9 | 38 | 1.0 | 0.28 | – | – | – | – | – | – |
| CO2 | 9 | 12.5 | 1.0 | 0.09 | – | – | – | – | – | – |
| 58Ni11+ at 46 MeV; Se = 2601.9 eV / 1015 C18O2 moleculescm−2 (Seperuelo Duarte et al. 2009) | ||||||||||
| C18O2 | 9 | 148 | 1.0 | 1.08 | 11.7 ± 3.1 | 78 ± 31 | 15.7 ± 10.8 | 290 ± 200 | 50.0 |
2.07 |
| 132Xe21+ at 630 MeV; Se = 5680 eV / 1015 CO2 moleculescm−2 (Mejía et al. 2015) | ||||||||||
| CO2 | 30 | 6.8 | 1.17 | 0.042 | 65 |
1023 |
− | − | ||
| 40Ca9+ at 38.4 MeV; Se = 1245.2 eV / 1015 CO moleculescm−2 (this work) | ||||||||||
| CO | 9 | 110 | 0.8 | 0.80 | 4.4 ± 0.4 | 32.3 ± 10.9 | 17.8 ± 5.3 | 267 ± 79 | 18.2 |
2.03 |
| CO | 9 | 45.5 | 0.8 | 0.33 | – | – | – | – | – | – |
| CO | 9 | 19.5 | 0.8 | 0.14 | – | – | – | – | – | – |
| CO | 9 | 16.7 | 0.8 | 0.12 | – | – | – | – | – | – |
| 58Ni9+ at 33 MeV; Se = 1613.2 eV / 1015 CO moleculescm−2 (this work) | ||||||||||
| CO | 9 | 179 | 0.8 | 1.04 | 8.9 ± 2.1 | 75 ± 22 | 15.1 ± 9.9 | 226 ± 149 | 49.9 |
2.36 |
| CO | 9 | 59 | 0.8 | 0.34 | – | – | – | – | – | – |
| 58Ni13+ at 50 MeV; Se = 1702.0 eV / 1015 CO moleculescm−2 (Seperuelo Duarte et al. 2010) | ||||||||||
| CO | 9 | 158 | 0.8 | 0.92 | 8.7 ± 1.5 | 83 ± 13 | 19.8 ± 3.9 | 297 ± 58 | 42.0 |
2.20 |
| CO | 9 | 112 | 0.8 | 0.65 | – | – | – | – | – | – |
Notes. N0, ρ, and thickness are the ice film initial column density, density, and thickness, respectively. σdes is the radiolysis destruction cross section.
and Nd are the semi-infinite sputtering yield and sputtering depth origin of the species within the model used in this work, in a column density equivalent. ld is the depth in monolayers converted from Nd. σs is the effective sputtering cross-section. rs∕rd is the ratio of the effective sputtering radius over the radiolysis destruction radius (deduced from the radiolysis destruction cross-section). (a) The density (g cm−3) considered for the ice thickness and the determination of the number of molecular layers are given for CO2 for the different temperatures following Satorre et al. (2008), and taken as 0.8 g cm−3 for CO (e.g. Loeffler et al. 2005; Bouilloud et al. 2015). (b)Ratio of thin-to-thick yields. The yield value for infinite thickness for the considered stopping power is obtained from the fit of the other data presented in Mejia et al with a power law. See text for details.
Current usage metrics show cumulative count of Article Views (full-text article views including HTML views, PDF and ePub downloads, according to the available data) and Abstracts Views on Vision4Press platform.
Data correspond to usage on the plateform after 2015. The current usage metrics is available 48-96 hours after online publication and is updated daily on week days.
Initial download of the metrics may take a while.