Free Access

Fig. 4

image

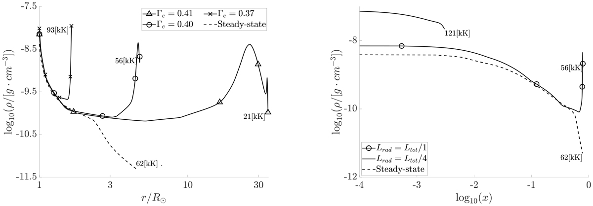
Density profiles of different static and steady-state solutions. On both plots the solid lines show the different cases of hydrostatic solutions and dashed lines show the sub-photospheric part of the steady-state outflow (see Fig. 3e). The different markers then compare hydrostatic solutions for different assumed Thompson scattering Eddington factor Γe (left panel) and for different assumed LLrad ratios for thefixed total luminosity log10(LL) = 5.416 (right panel). The numbers at the right end of each density profile correspond to the photospheric effective temperature of the corresponding model in kilo-Kelvins, as defined in the text. To better visualise the innermost parts of the simulations, the right panel displays the logarithm of the scaled radius x = 1 − Rcr on the abscissa.

Current usage metrics show cumulative count of Article Views (full-text article views including HTML views, PDF and ePub downloads, according to the available data) and Abstracts Views on Vision4Press platform.

Data correspond to usage on the plateform after 2015. The current usage metrics is available 48-96 hours after online publication and is updated daily on week days.

Initial download of the metrics may take a while.