Open Access

Fig. 3.

image

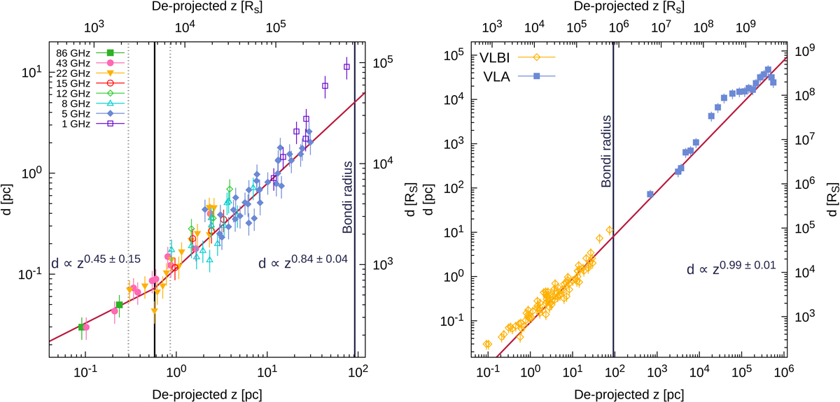
Jet collimation profile in NGC 315. Left panel: VLBI data at different frequencies. A transition from a parabolical to conical jet shape is observed on sub-parsec scales. The fitted red line is a broken power-law. The dotted lines delimit the uncertainty interval of the transition distance. The latter is much smaller than the estimated Bondi radius. Right panel: VLBI and VLA data. After the transition, the global jet shape remains conical beyond the Bondi radius and up to Megaparsec distance from the black hole.

Current usage metrics show cumulative count of Article Views (full-text article views including HTML views, PDF and ePub downloads, according to the available data) and Abstracts Views on Vision4Press platform.

Data correspond to usage on the plateform after 2015. The current usage metrics is available 48-96 hours after online publication and is updated daily on week days.

Initial download of the metrics may take a while.