Open Access

Fig. 3

image

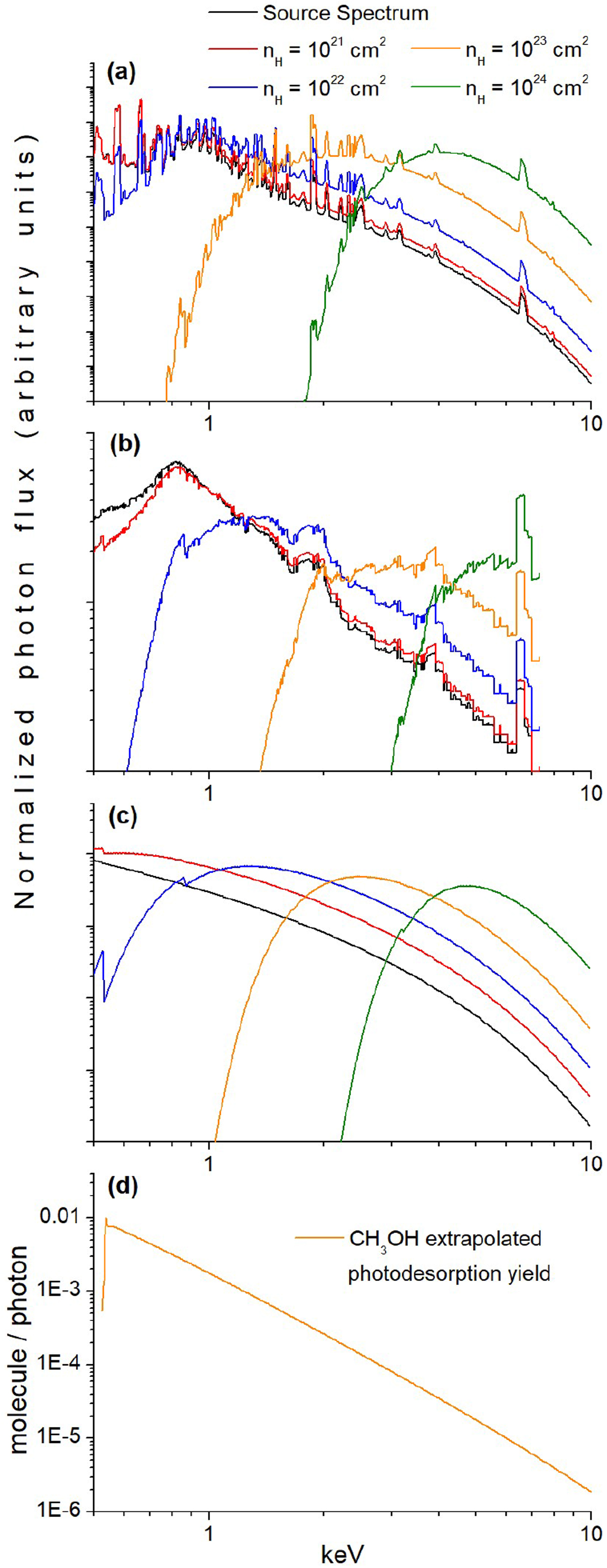
Normalized (with respect to the area) X-ray spectra of (a) TW Hya (Nomura et al. 2007), (b) Herbig Ae HD 104237 (Skinner et al. 2004), and (c) X-ray background field (XBGF) of YSO clusters (Rab et al. 2018). The source spectrum is represented along with its attenuation for different H column densities. (d) Extrapolated photodesorption yield spectra from our experimental results and using the absorption cross section of gas-phase methanol from Berkowitz (2002).

Current usage metrics show cumulative count of Article Views (full-text article views including HTML views, PDF and ePub downloads, according to the available data) and Abstracts Views on Vision4Press platform.

Data correspond to usage on the plateform after 2015. The current usage metrics is available 48-96 hours after online publication and is updated daily on week days.

Initial download of the metrics may take a while.