Open Access

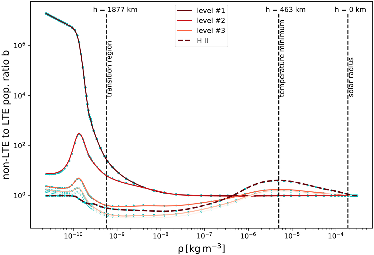
Fig. 5.

image

Ratio of non-LTE to LTE populations (departure coefficient b) of a 6-level hydrogen atom as a function of density (ρ). RH populations are indicated with cyan dots. MCFOST populations are shown with full colour lines, where darker (lighter) red shades mean lower (higher) energy levels. For clarity, the first three atomic levels and the continuum level (ground state of HII) are labelled explicitly in the insert. The different layers of the solar atmosphere are shown with vertical dashed lines. Typical heights above the solar radius are also indicated.

Current usage metrics show cumulative count of Article Views (full-text article views including HTML views, PDF and ePub downloads, according to the available data) and Abstracts Views on Vision4Press platform.

Data correspond to usage on the plateform after 2015. The current usage metrics is available 48-96 hours after online publication and is updated daily on week days.

Initial download of the metrics may take a while.