Free Access

Fig. 2

image

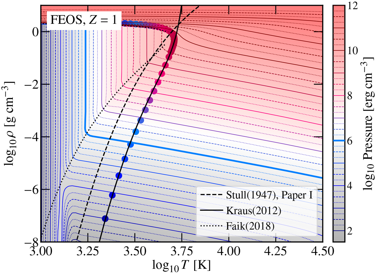
Frankfurt equation of state. Shown are pressure contours as a function of density and temperature for a fully SiO2 composition (Z = 1). Regions where the iso-pressure contour are vertical represent phase transitions. The LV-curve by Stull (1947) (used in Paper I) is given by the dashed curve, while the colored dots indicate the experimentally inferred curve by Kraus et al. (2012); the color indicates the pressure. The fit to the Kraus et al. (2012) data (solid black curve) is used in this work as the LV-curve.

Current usage metrics show cumulative count of Article Views (full-text article views including HTML views, PDF and ePub downloads, according to the available data) and Abstracts Views on Vision4Press platform.

Data correspond to usage on the plateform after 2015. The current usage metrics is available 48-96 hours after online publication and is updated daily on week days.

Initial download of the metrics may take a while.