Free Access

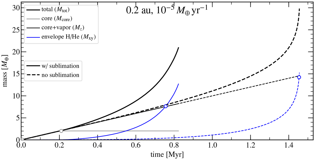
Fig. 9

image

Temporal evolution of two runs with our (standard) choice of evaporation (solid) and for the classical choice where solids end up in the core (dashed). Other parameter are the same (e.g., Z = 10−5 M yr−1). Due to the absorption of vapor by the envelope and the concomitant reduction of the local pressure scaleheight, the intake of nebular gas (Mxy) speeds up in the run where pebbles sublimate.

Current usage metrics show cumulative count of Article Views (full-text article views including HTML views, PDF and ePub downloads, according to the available data) and Abstracts Views on Vision4Press platform.

Data correspond to usage on the plateform after 2015. The current usage metrics is available 48-96 hours after online publication and is updated daily on week days.

Initial download of the metrics may take a while.