Open Access

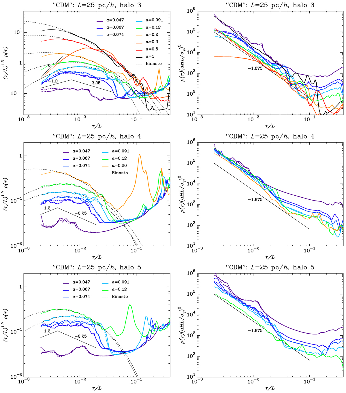
Fig. 20.

image

Time evolution of the radial density profile and the radial pseudo phase-space density: continued. Same as in Fig. 19, but for ‘CDM’ halos 3, 4, and 5, extracted from the ‘CDM’ runs with L = 25 pc h−1. Halos 4 and 5 merge with halo 3. One of these mergers is clearly captured by the orange curve corresponding to a = 0.3 in the top left panel.

Current usage metrics show cumulative count of Article Views (full-text article views including HTML views, PDF and ePub downloads, according to the available data) and Abstracts Views on Vision4Press platform.

Data correspond to usage on the plateform after 2015. The current usage metrics is available 48-96 hours after online publication and is updated daily on week days.

Initial download of the metrics may take a while.