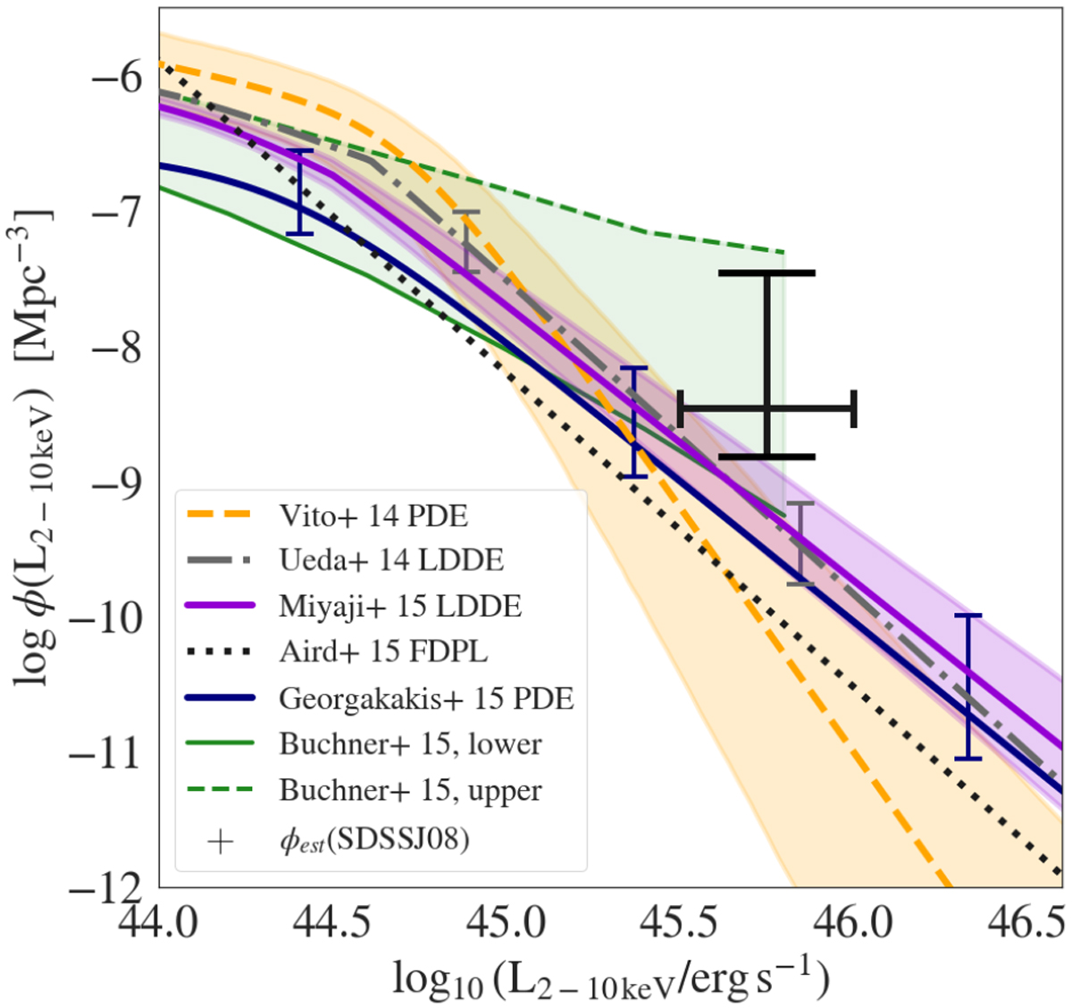
Fig. 10

image

Parametric models of the XLF extrapolated to z = 6.05. The coloured error bars and shaded areas correspond to 1σ uncertainties on the nominal models of the same colour. The nonparametric XLF from B15 re-scaled to the comoving volume in the range z = 5.7−6.4 is also shownin green. The binned estimate of the AGN space density as derived from the detection of SDSSJ08 is shown by the black error-bars.

Current usage metrics show cumulative count of Article Views (full-text article views including HTML views, PDF and ePub downloads, according to the available data) and Abstracts Views on Vision4Press platform.

Data correspond to usage on the plateform after 2015. The current usage metrics is available 48-96 hours after online publication and is updated daily on week days.

Initial download of the metrics may take a while.