Free Access
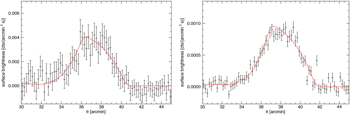
Fig. 8
Left: background-subtracted eRASS1 ring profile (1.0–2.3 keV) with best-fit model (red line, D = 3390 pc, ddust = 180 pc). Right: background-subtracted XMM EPIC ring profile (1.0–2.0 keV) with best-fit model (red line, D = 3395 pc, ddust = 190 pc).
Current usage metrics show cumulative count of Article Views (full-text article views including HTML views, PDF and ePub downloads, according to the available data) and Abstracts Views on Vision4Press platform.
Data correspond to usage on the plateform after 2015. The current usage metrics is available 48-96 hours after online publication and is updated daily on week days.
Initial download of the metrics may take a while.