Free Access
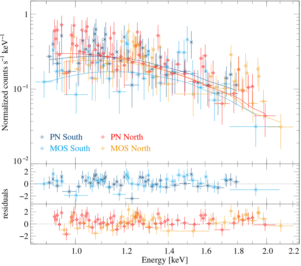
Fig. 9
XMM-Newton ring spectra taken by EPIC/pn and MOS in the northern pointing 2 (blue crosses) and the southern pointing 6 (red diamonds) with an absorbed power-law model. The data have been binned to a signal-to-noise ratio of at least 2 for clarity. The residuals (data−model)/error are shown separately in the lower panels.
Current usage metrics show cumulative count of Article Views (full-text article views including HTML views, PDF and ePub downloads, according to the available data) and Abstracts Views on Vision4Press platform.
Data correspond to usage on the plateform after 2015. The current usage metrics is available 48-96 hours after online publication and is updated daily on week days.
Initial download of the metrics may take a while.