Free Access

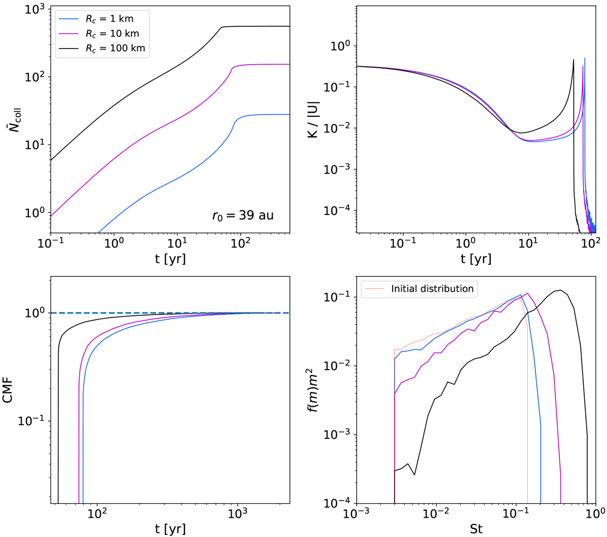
Fig. 3

image

Simulation results for three different cloud masses corresponding to core radius Rc = [1, 10, 100] km at 39 au from the central star. Top left panel: average collisions per pebble . Top right panel: ratio of kinetic to potential energy E = K/|U|, bottom left panel: CMF in time. Bottom right panel: mass weighted initial and final pebble Stokes number distribution. The initial St distribution (red curve) is the same for all three cloud masses.

Current usage metrics show cumulative count of Article Views (full-text article views including HTML views, PDF and ePub downloads, according to the available data) and Abstracts Views on Vision4Press platform.

Data correspond to usage on the plateform after 2015. The current usage metrics is available 48-96 hours after online publication and is updated daily on week days.

Initial download of the metrics may take a while.