Free Access

Fig. A.3

image

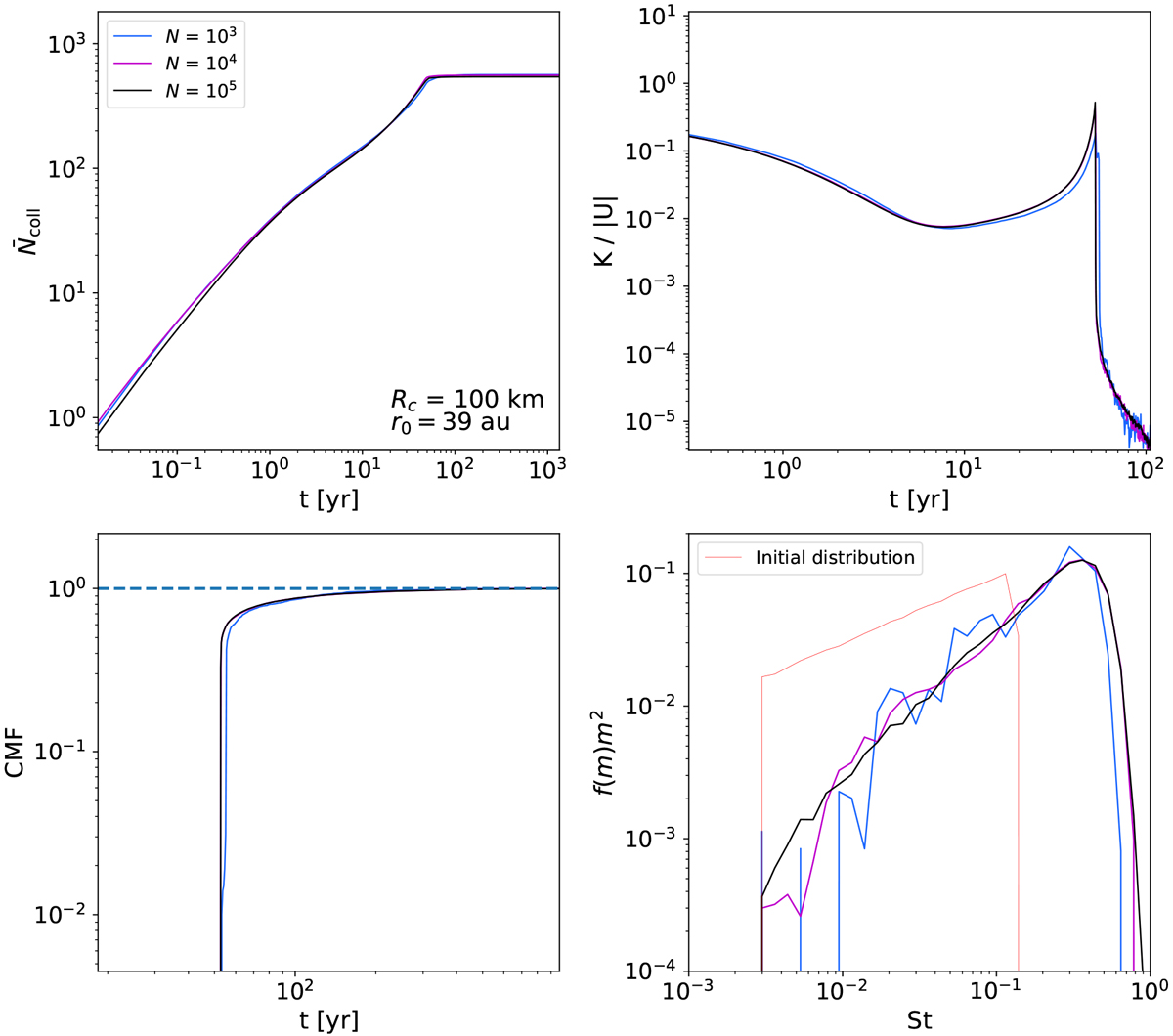
Same results as discussed in Fig. A.2 now for 100 km core radius. The most notable difference is a faster collision convergence due to better statistics (more collisions due to higher cloud mass).

Current usage metrics show cumulative count of Article Views (full-text article views including HTML views, PDF and ePub downloads, according to the available data) and Abstracts Views on Vision4Press platform.

Data correspond to usage on the plateform after 2015. The current usage metrics is available 48-96 hours after online publication and is updated daily on week days.

Initial download of the metrics may take a while.