Open Access

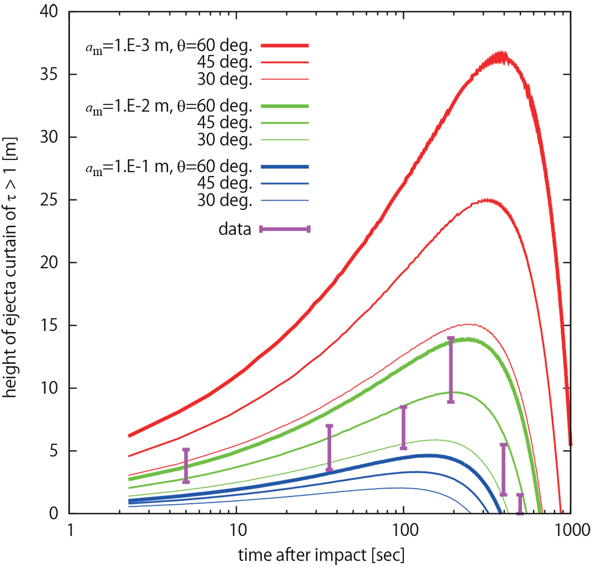
Fig. 5

image

Comparison of the temporal change in the height of the border part of τ = 1 in the ejecta curtain model of the monodisperse particle cases with the measurement data. The line colors (red, green, and blue) correspond to the cases with an ejecta particle size of am = 1 mm, 1 cm, and 10 cm, respectively. The thickness of the lines corresponds to the cases with an ejection angle of θ = 60, 45, and 30 deg. The scatter of the model lines comes from the discreteness of the numerical calculation, which moves the position of τ = 1 as slightly as shown.

Current usage metrics show cumulative count of Article Views (full-text article views including HTML views, PDF and ePub downloads, according to the available data) and Abstracts Views on Vision4Press platform.

Data correspond to usage on the plateform after 2015. The current usage metrics is available 48-96 hours after online publication and is updated daily on week days.

Initial download of the metrics may take a while.