Free Access

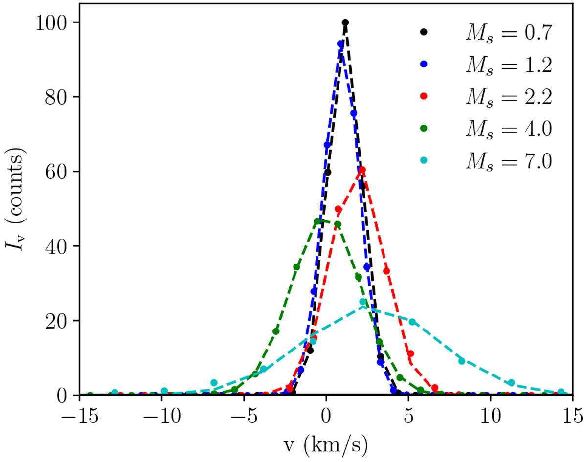
Fig. 2

image

Synthetic emission line profiles for different simulation models. All the models have an Alfvén Mach number MA = 0.7. The sonic Mach number, Ms, for each simulation model is shown in the legend. The dashed lines correspond to the fitted Gaussian profiles.

Current usage metrics show cumulative count of Article Views (full-text article views including HTML views, PDF and ePub downloads, according to the available data) and Abstracts Views on Vision4Press platform.

Data correspond to usage on the plateform after 2015. The current usage metrics is available 48-96 hours after online publication and is updated daily on week days.

Initial download of the metrics may take a while.