Free Access

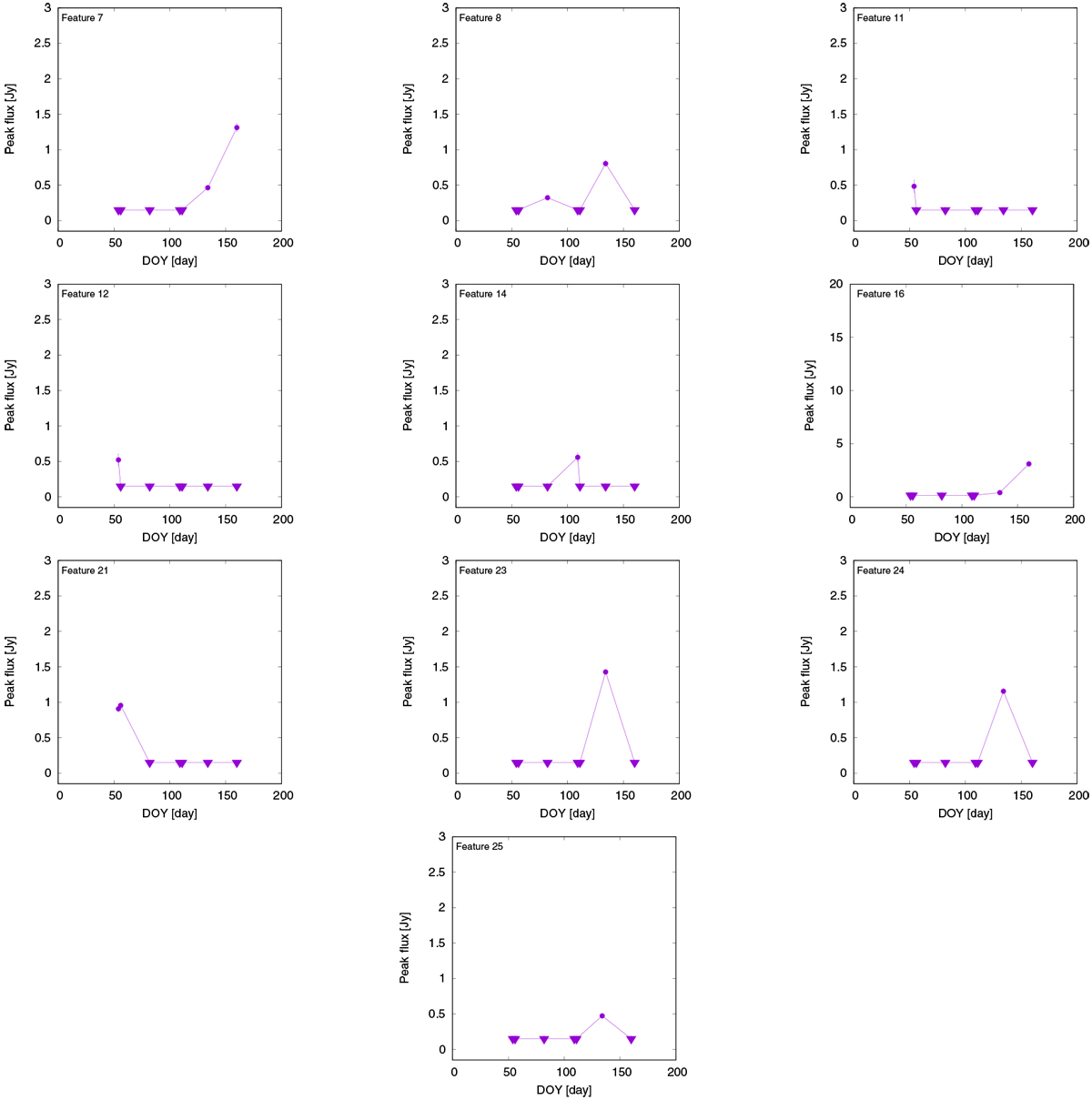
Fig. A.16

image

Flux density variation for the features detected only in 1 or 2 VLBI epochs. Triangles in each panel represent the upper limit of the flux densities.

Current usage metrics show cumulative count of Article Views (full-text article views including HTML views, PDF and ePub downloads, according to the available data) and Abstracts Views on Vision4Press platform.

Data correspond to usage on the plateform after 2015. The current usage metrics is available 48-96 hours after online publication and is updated daily on week days.

Initial download of the metrics may take a while.