Free Access

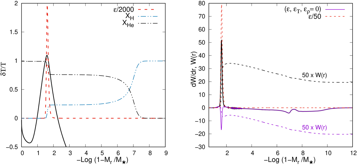
Fig. 5.

image

Left panel: Lagrangian perturbation of the temperature (δT/T), along with the scaled nuclear generation rate (ε), and the fractional abundances of H and He (XH and XHe) in terms of the mass fraction coordinate (−log(1 − Mr/M)), for a representative unstable pulsation mode with  = 1, k = 2 (Π = 268.7 s), corresponding to a template model with Teff = 28814 K of the 0.2025 M sequence before the occurrence of the ninth CNO flash (see Figs. 1 and 2). Right panel: differential work function (dW(r)/dr) in terms of −log(1 − Mr/M) for the case in which the ε mechanism is allowed to operate (solid black curve) and when it is suppressed (solid violet curve). Also shown are the corresponding scaled running work integrals, W (dashed curves).

Current usage metrics show cumulative count of Article Views (full-text article views including HTML views, PDF and ePub downloads, according to the available data) and Abstracts Views on Vision4Press platform.

Data correspond to usage on the plateform after 2015. The current usage metrics is available 48-96 hours after online publication and is updated daily on week days.

Initial download of the metrics may take a while.