Free Access

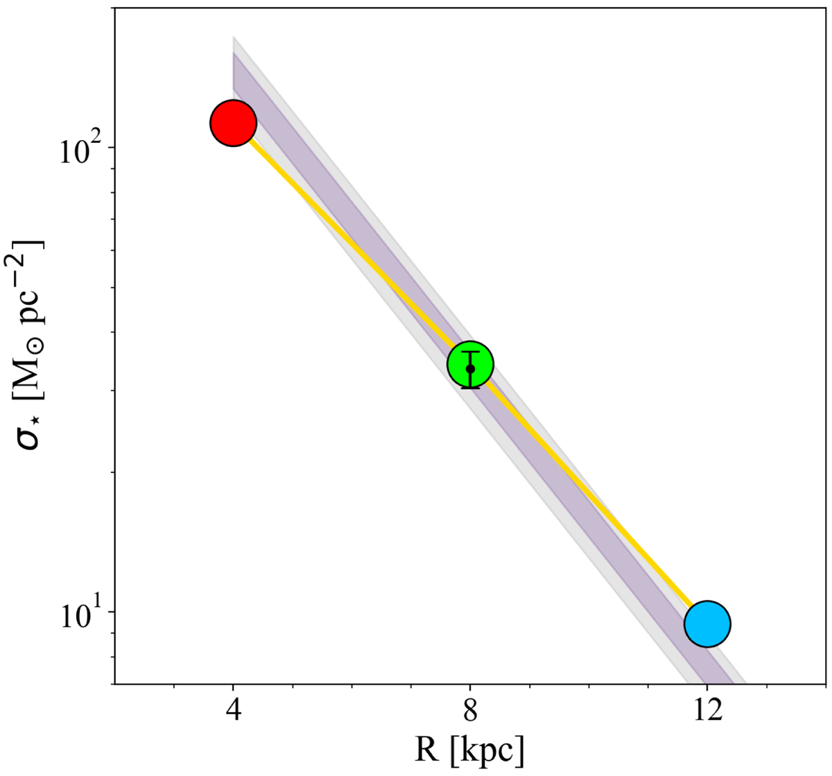
Fig. 11.

image

Radial stellar surface stellar density profile of our model (big circles connected by a yellow line). The observed local stellar density is 33.4 ± 3 M pc−2 (McKee et al. 2015, small black dot and associated error bar). In our model we assume that the stellar profile decreases exponentially outwards with a characteristic scale-length of 2.7 kpc (Kubryk et al. 2015). The blue and grey shaded areas indicate zones within 1σ and 2σ, respectively.

Current usage metrics show cumulative count of Article Views (full-text article views including HTML views, PDF and ePub downloads, according to the available data) and Abstracts Views on Vision4Press platform.

Data correspond to usage on the plateform after 2015. The current usage metrics is available 48-96 hours after online publication and is updated daily on week days.

Initial download of the metrics may take a while.