Free Access

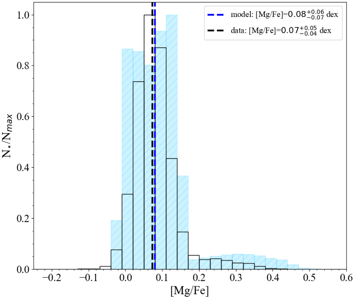
Fig. 17.

image

[Mg/Fe] distribution predicted by our best-fit model computed at 12 kpc (blue histogram) compared with the APOGEE data in stars with Galactocentric distances between 10 and 14 kpc. Black and blue vertical lines indicate the median values of the data and model, respectively.

Current usage metrics show cumulative count of Article Views (full-text article views including HTML views, PDF and ePub downloads, according to the available data) and Abstracts Views on Vision4Press platform.

Data correspond to usage on the plateform after 2015. The current usage metrics is available 48-96 hours after online publication and is updated daily on week days.

Initial download of the metrics may take a while.