Free Access

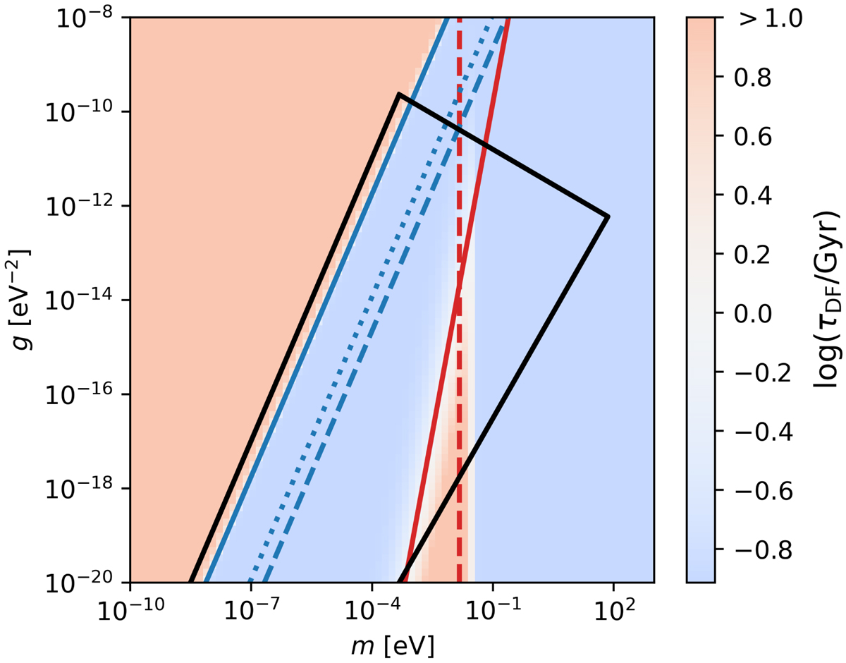
Fig. 7.

image

Criteria listed in the text, and the orbital decay timescale for GC3 at T/Tc = 10−4 in the LC model for reference (solid black line). Permitted parameter space; the left side is from the constraint on the halo core radius in hydrostatic equilibrium, Eq. (82); the upper right side from the constraint from galaxy cluster collisions, Eq. (84); and the lower right side from the minimum relaxation rate needed to thermalize the fluid across the halo, Eq. (86) (solid blue line). V = c, with V < c on the left side (dotted blue line). Criterion for linear perturbation theory to be properly valid, with δρ/ρ0 < 1 satisfied on the left side (dashed blue line). Supplementary criterion for the T = 0 treatment of the hydrostatic halo size, with Eq. (83) satisfied on the left side (solid red line). , where the superfluid dynamical friction transitions from superfluid on the left side, to normal fluid on the right (dashed red line). Constraint on the halo core radius in hydrostatic equilibrium with thermal pressure included, with halo cores smaller than the core as modeled by Eq. (80) on the right side.

Current usage metrics show cumulative count of Article Views (full-text article views including HTML views, PDF and ePub downloads, according to the available data) and Abstracts Views on Vision4Press platform.

Data correspond to usage on the plateform after 2015. The current usage metrics is available 48-96 hours after online publication and is updated daily on week days.

Initial download of the metrics may take a while.