Open Access

Fig. 2

image

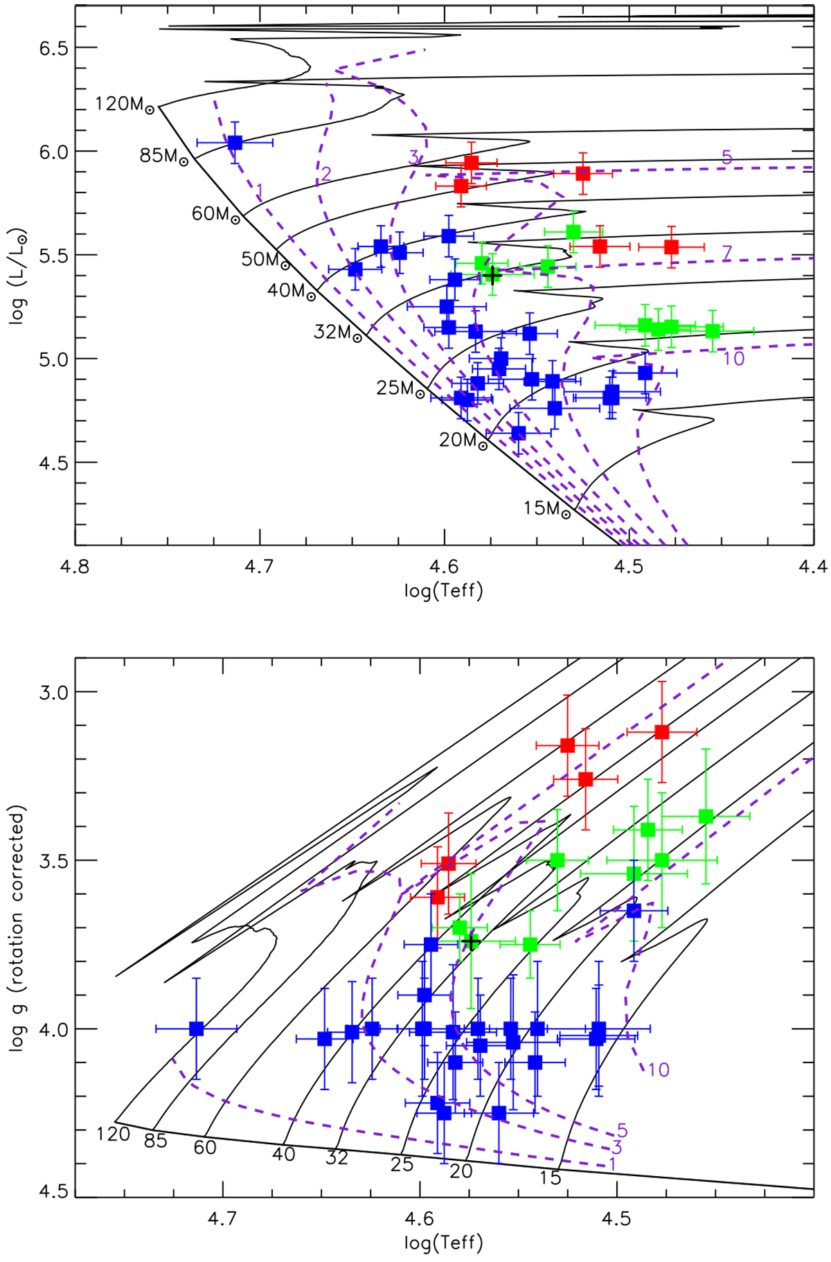
HRD (top) and KD (bottom) of the full sample stars. The ordinate in the KD is defined as the measured surface gravity corrected for centrifugal rotation (see text). Blue squares indicate luminosity class V stars (luminosity class III, green, and luminosity class I stars, red). The black plus indicates the location of AV 77, the only clear binary of our sample. Evolutionary tracks (black lines) and isochrones (dashed purple lines) show models with an initial rotational velocity of roughly 300 km s−1 (Georgy et al. 2013). The tracks are annotated in solar masses and the isochrones in Myr.

Current usage metrics show cumulative count of Article Views (full-text article views including HTML views, PDF and ePub downloads, according to the available data) and Abstracts Views on Vision4Press platform.

Data correspond to usage on the plateform after 2015. The current usage metrics is available 48-96 hours after online publication and is updated daily on week days.

Initial download of the metrics may take a while.