Highlight
Open Access

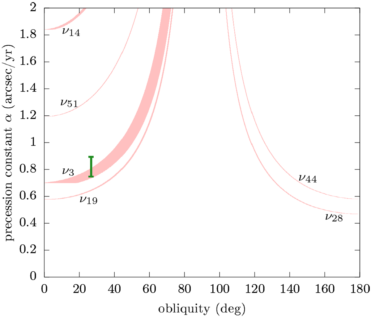
Fig. 1

image

Location and width of every first-order secular spin-orbit resonance for Saturn. Each resonant angle is of the form σp = ψ + ϕp where ϕp has frequency νp labelled on the graph according to its index in the orbital series (see Table 1 and Appendix A). For a given value of the precession constant α, the intervalof obliquity enclosed by the separatrix is shown in pink, as computed using the formulas of Saillenfest et al. (2019). The green bar shows Saturn’s current obliquity and the range for its precession constant considered in this article, as detailed in Sects. 2.3 and 2.4.

Current usage metrics show cumulative count of Article Views (full-text article views including HTML views, PDF and ePub downloads, according to the available data) and Abstracts Views on Vision4Press platform.

Data correspond to usage on the plateform after 2015. The current usage metrics is available 48-96 hours after online publication and is updated daily on week days.

Initial download of the metrics may take a while.