Highlight
Open Access

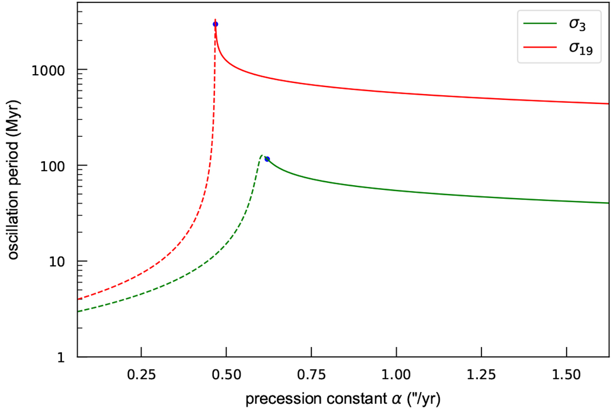
Fig. 6

image

Period of small oscillations about the resonance centre for a resonance with ϕ3 or ϕ19. The resonant angles are σ3 = ψ + ϕ3 and σ19 = ψ + ϕ19, respectively.Dashed curves are used for oscillations about Cassini state 2 before the separatrix appears. The appearance of the separatrix is marked by a blue dot.

Current usage metrics show cumulative count of Article Views (full-text article views including HTML views, PDF and ePub downloads, according to the available data) and Abstracts Views on Vision4Press platform.

Data correspond to usage on the plateform after 2015. The current usage metrics is available 48-96 hours after online publication and is updated daily on week days.

Initial download of the metrics may take a while.