Highlight
Open Access

Fig. 10

image

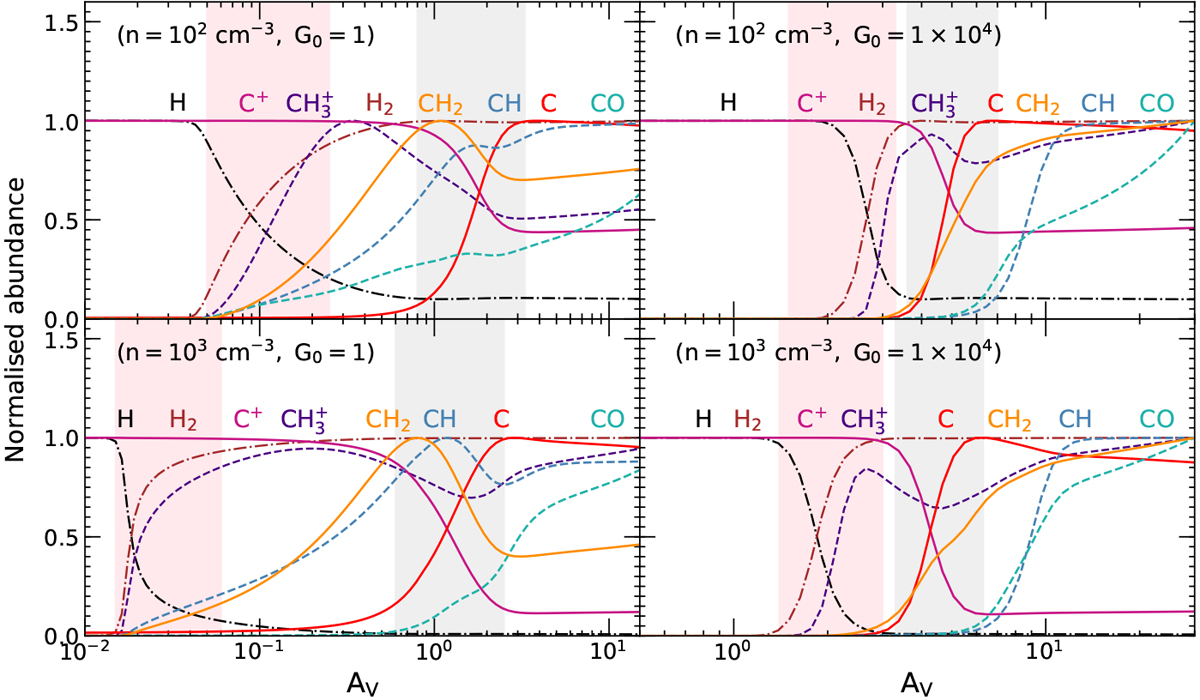
Variation of the gas-phase abundances of fundamental species in carbon chemistry, normalised by their respective peak abundances as a function of visual extinction, Av. The cloud parameters for the different models are as follows: nH = 102 cm−3, G0 = 1 (top-left), nH = 102 cm−3, G0 = 1 × 104, nH = 103 cm−3, G0 = 1, and nH= 103 cm−3, G0 = 1 × 104 (bottom-right). All the models presented here use a constant cosmic-ray ionisation rate of ζH = 2.2 × 10−16 s−1. The pink and grey shaded regions in each panel highlight the transition layer between H–H2 and C+ –C, respectively.

Current usage metrics show cumulative count of Article Views (full-text article views including HTML views, PDF and ePub downloads, according to the available data) and Abstracts Views on Vision4Press platform.

Data correspond to usage on the plateform after 2015. The current usage metrics is available 48-96 hours after online publication and is updated daily on week days.

Initial download of the metrics may take a while.