Highlight
Open Access

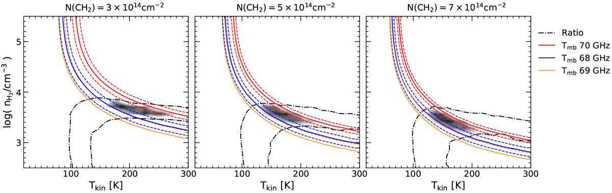
Fig. 12

image

RADEX non-LTE modelling of o-CH2 toward W3 IRS5. The solid and dashed- red, blue and orange curves represent the observed peak main-beam brightness temperatures of the 70, 68 and 69 GHz, respectively, and their uncertainties. We note that for the 69 GHz o-CH2 lines being contaminated by NS, we only represent the uncontaminated modelled intensity and an upper limit. The black dashed and dotted lines mark the limits of the brightness temperature ratio between the 70 and 68 GHz lines. The grey shaded region characterises values of <11 corresponding to a probability of 99.9% over the temperature-density plane for models with fixed column density values of 3 × 1014 cm−2 (left), 5× 1014 cm−2 (centre), and 7 × 1014 cm−2 (right).

Current usage metrics show cumulative count of Article Views (full-text article views including HTML views, PDF and ePub downloads, according to the available data) and Abstracts Views on Vision4Press platform.

Data correspond to usage on the plateform after 2015. The current usage metrics is available 48-96 hours after online publication and is updated daily on week days.

Initial download of the metrics may take a while.