Highlight
Open Access

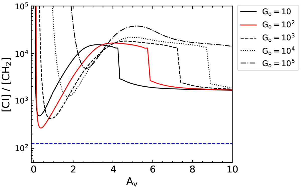
Fig. 14

image

Variation in the [CI]/[CH2] abundance ratio as a function of Av. The different curves represent models at different values of Go, as labelled. The dashed blue curve marks the observed [CI]/[CH2] intensity ratio of 125.

Current usage metrics show cumulative count of Article Views (full-text article views including HTML views, PDF and ePub downloads, according to the available data) and Abstracts Views on Vision4Press platform.

Data correspond to usage on the plateform after 2015. The current usage metrics is available 48-96 hours after online publication and is updated daily on week days.

Initial download of the metrics may take a while.