Open Access

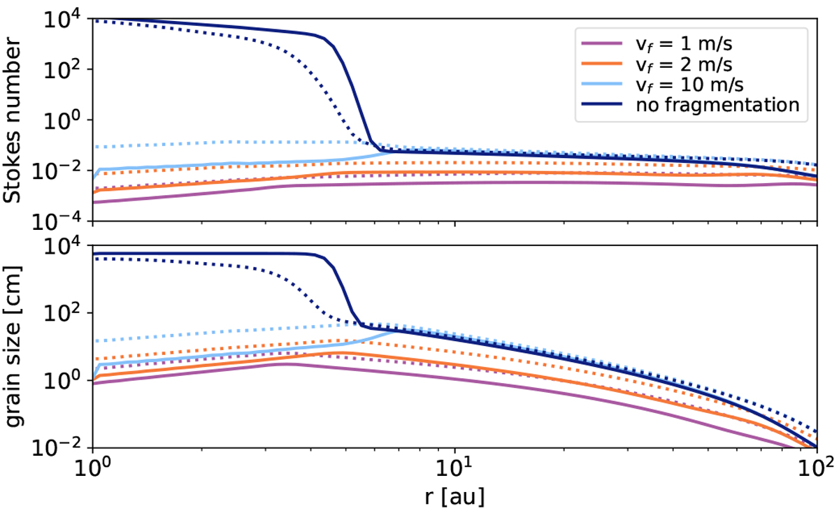
Fig. 4

image

Mass-averaged (solid lines) and flux-averaged (dotted lines) Stokes number (upper panel) and grain size (lower panel) after 2 × 105 yr of evolution in the models of a compact protoplanetary disk with α = 10−4 and varying fragmentation threshold velocity vf.

Current usage metrics show cumulative count of Article Views (full-text article views including HTML views, PDF and ePub downloads, according to the available data) and Abstracts Views on Vision4Press platform.

Data correspond to usage on the plateform after 2015. The current usage metrics is available 48-96 hours after online publication and is updated daily on week days.

Initial download of the metrics may take a while.