Open Access

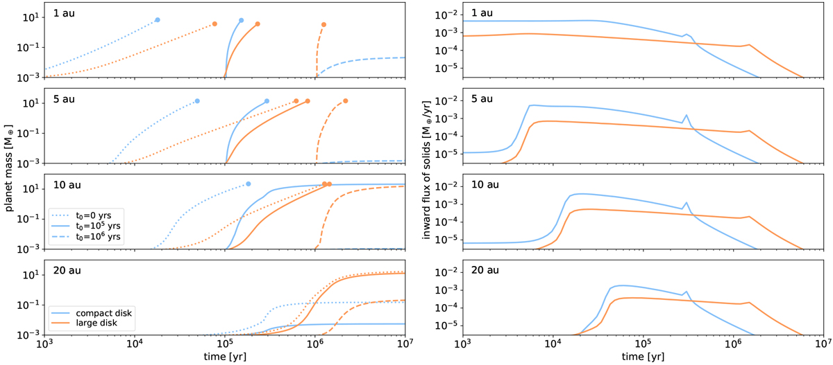
Fig. 5

image

Left: Planetary embryo growth via pebble accretion in models with a different characteristic radius, α = 10−4, and the fragmentation threshold of vf = 10 m s−1. Lines ending with a circle represent growth tracks that reached the pebble isolation mass. Right: inward flux of solids (all dust sizes integrated) at different locations in the same models.

Current usage metrics show cumulative count of Article Views (full-text article views including HTML views, PDF and ePub downloads, according to the available data) and Abstracts Views on Vision4Press platform.

Data correspond to usage on the plateform after 2015. The current usage metrics is available 48-96 hours after online publication and is updated daily on week days.

Initial download of the metrics may take a while.