Free Access

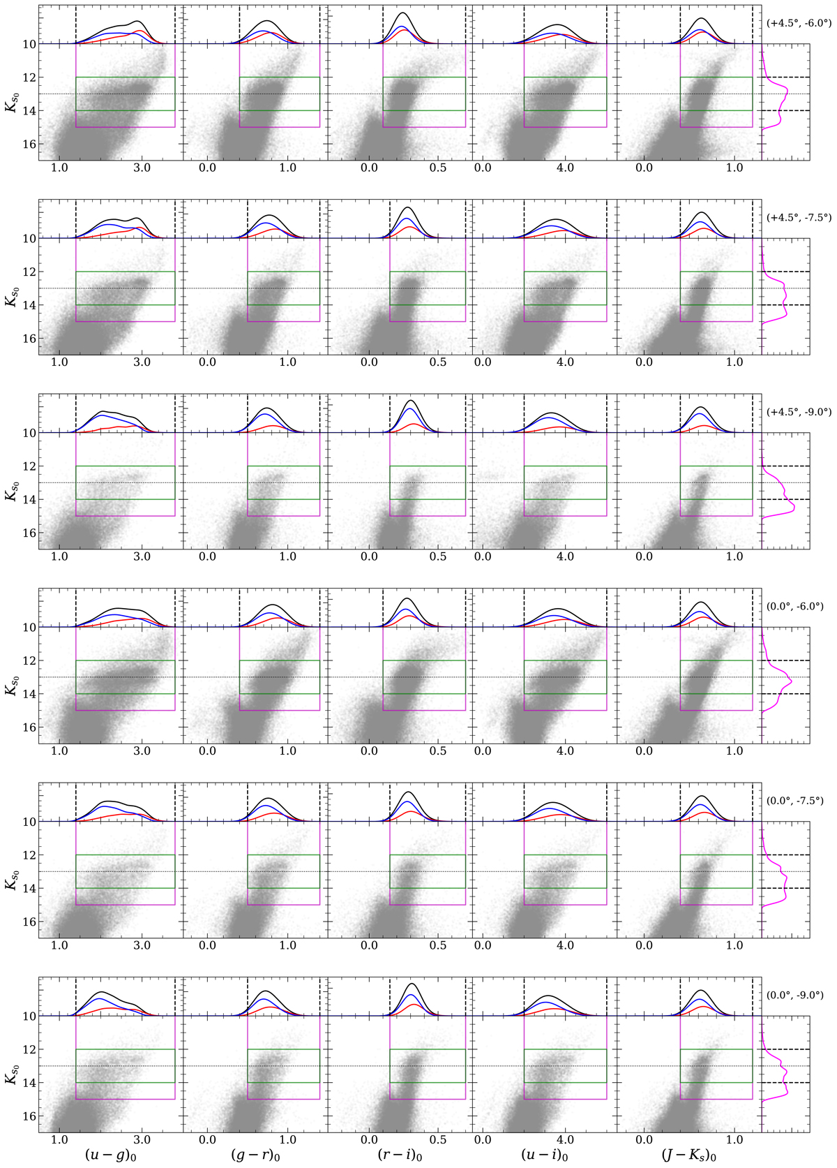
Fig. 1.

image

Dereddened CMDs for stars within a circle of 1° diameter around nine different fields of the bulge in the (Ks, u − g)0, (Ks, g − r)0, (Ks, r − i)0, (Ks, u − i)0, and (Ks, J − Ks)0 planes using the BDBS and the VVV data. The Galactic position (l, b) of each field is listed in the upper right corner. The green and purple boxes indicate the selection criteria for the RC and RGB stars, respectively, and the horizontal dotted line in each CMD divides the bright and faint RCs at 13.0 Ks0 mag. We also plot the luminosity function of the RGB stars for each field (rightmost panels in each field), and color distribution for the stars in bRC (red), fRC (blue), and RGB (black) regimes, respectively, on the top of each CMD. The presence of double RCs is particularly prominent in the fields of l = 0.0°, while the bRC (fRC) is dominant at the positive (negative) longitude fields (l = ±4.5°). The stars in the bright and faint RC show a different distribution in (u − g)0 and (u − i)0 colors, but similar distribution in (r − i)0 and (J − Ks)0 colors.

Current usage metrics show cumulative count of Article Views (full-text article views including HTML views, PDF and ePub downloads, according to the available data) and Abstracts Views on Vision4Press platform.

Data correspond to usage on the plateform after 2015. The current usage metrics is available 48-96 hours after online publication and is updated daily on week days.

Initial download of the metrics may take a while.