Free Access

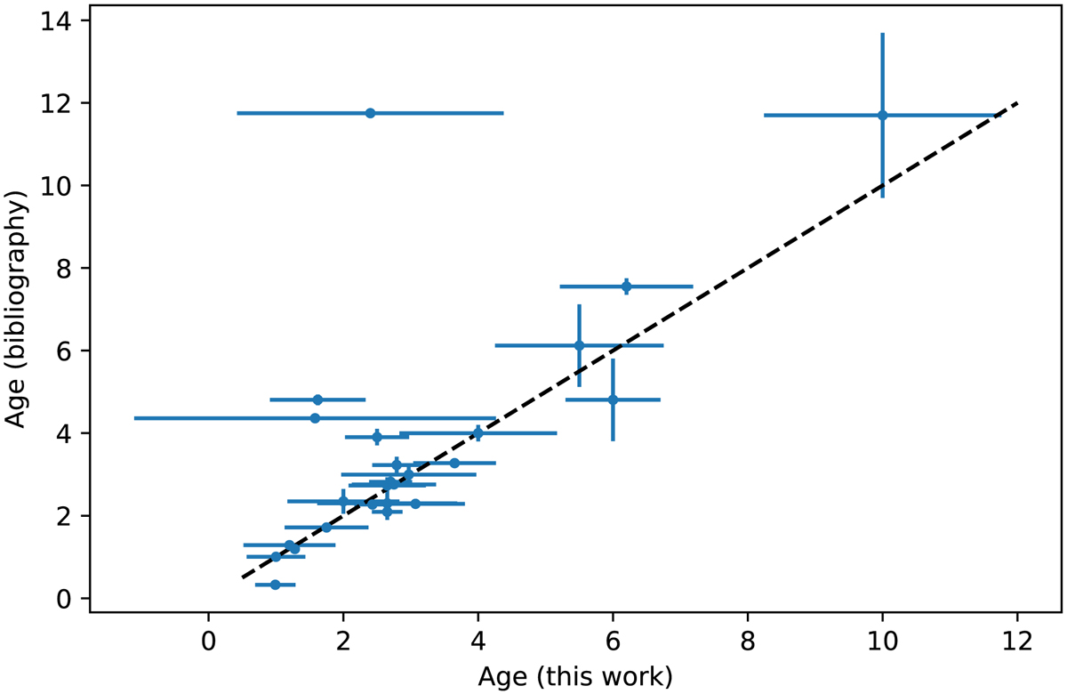
Fig. 1.

image

Age of this work versus the referenced age. Dashed line is a one-to-one relation. The horizontal and vertical blue lines represent respectively the age errors obtained form this work and the observational errors. We did not include any error bars on the cases where the observational error is not determined.

Current usage metrics show cumulative count of Article Views (full-text article views including HTML views, PDF and ePub downloads, according to the available data) and Abstracts Views on Vision4Press platform.

Data correspond to usage on the plateform after 2015. The current usage metrics is available 48-96 hours after online publication and is updated daily on week days.

Initial download of the metrics may take a while.