Open Access

This article has an erratum: [https://doi.org/10.1051/0004-6361/202040055e]


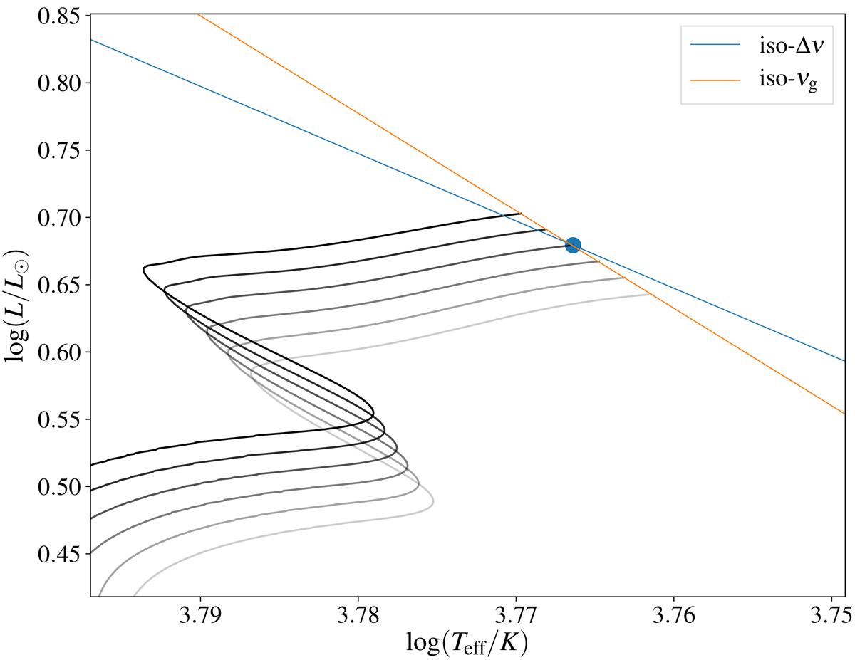
Fig. 5.

image

HR-diagram representing the evolution tracks of stellar models with masses varying from 1.2 M (lightest gray) to 1.3 M (darkest gray) and otherwise identical physics. Each evolution is stopped when νg is correctly reproduced.

Current usage metrics show cumulative count of Article Views (full-text article views including HTML views, PDF and ePub downloads, according to the available data) and Abstracts Views on Vision4Press platform.

Data correspond to usage on the plateform after 2015. The current usage metrics is available 48-96 hours after online publication and is updated daily on week days.

Initial download of the metrics may take a while.