Free Access

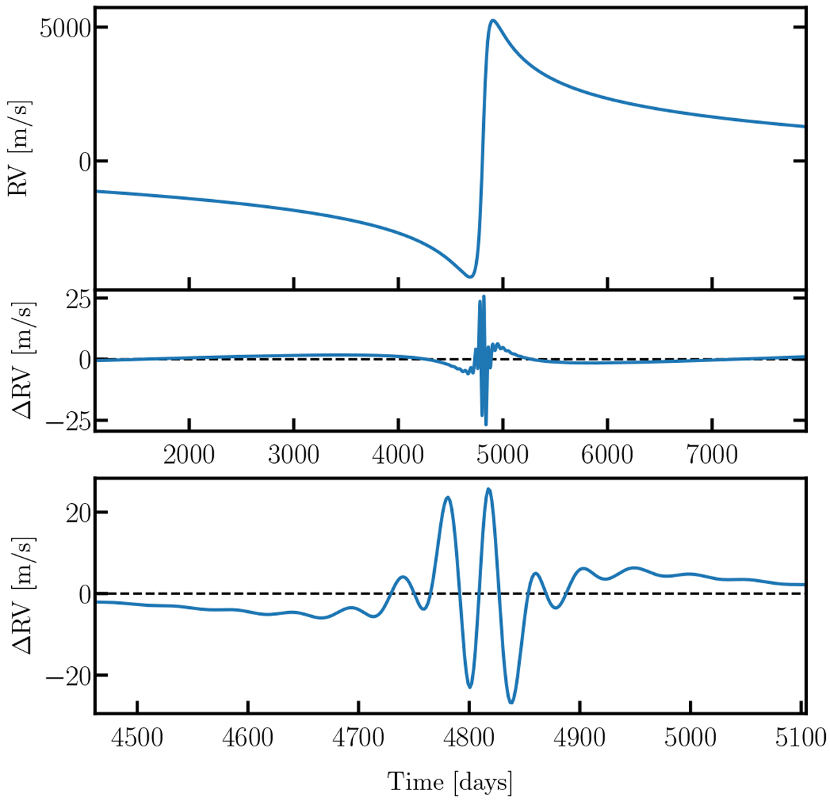
Fig. 9

image

Top: simulated RVs of the main component of a hierarchical triple, with the orbit of the companion pair around the primary chosen according to our solution for the close stellar companion to ε Cyg A. Middle: residuals of the simulated RVs after subtracting the high-amplitude, long-period RV signal modeled by a Keplerian orbit. Bottom: zoom in on the time around periastron passage of the eccentric long-period orbit.

Current usage metrics show cumulative count of Article Views (full-text article views including HTML views, PDF and ePub downloads, according to the available data) and Abstracts Views on Vision4Press platform.

Data correspond to usage on the plateform after 2015. The current usage metrics is available 48-96 hours after online publication and is updated daily on week days.

Initial download of the metrics may take a while.