Free Access

Fig. C.2

image

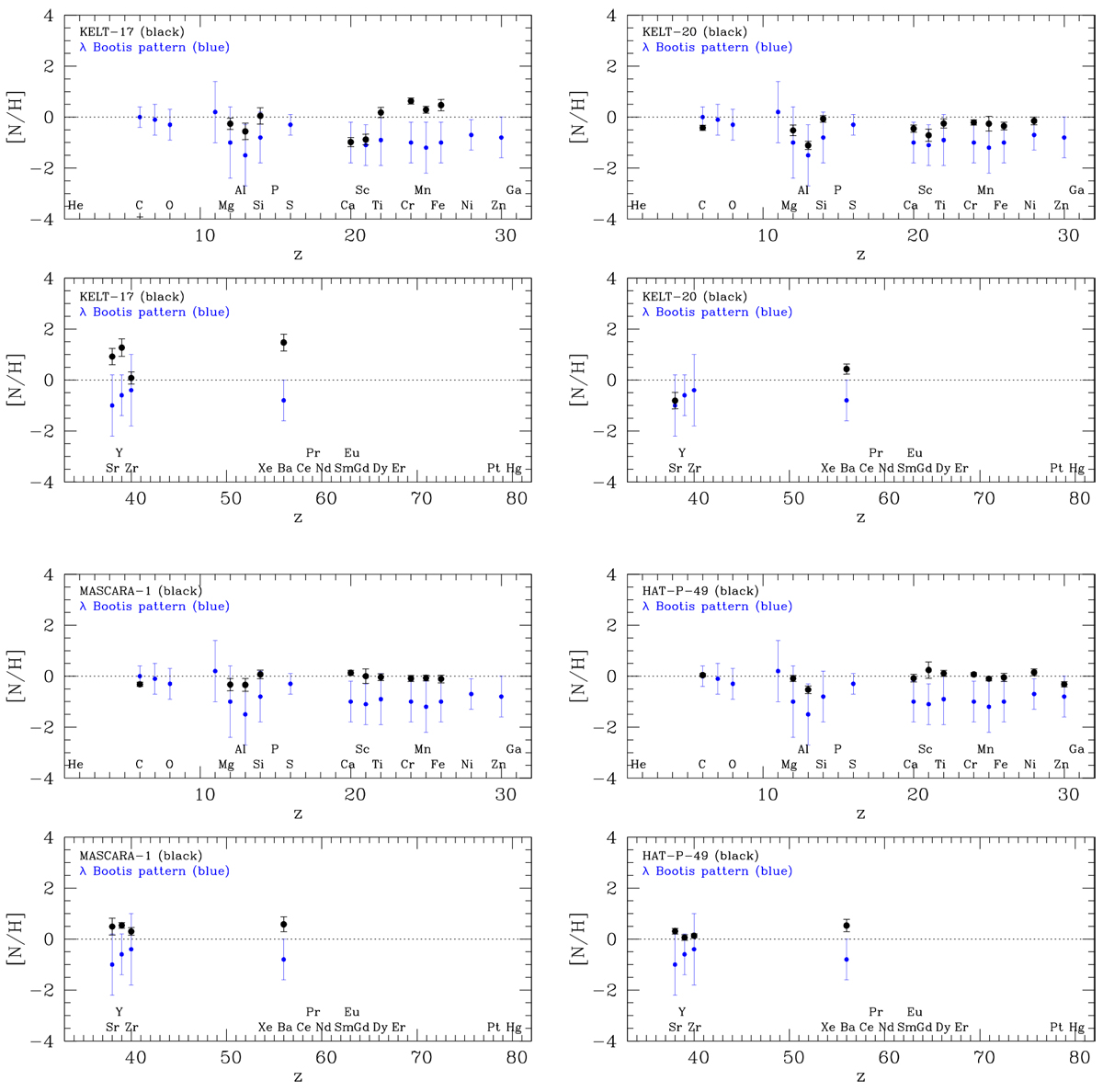
Abundances of hot-Jupiter host stars (KELT-17, KELT-20, MASCARA-1 and HAT-P-49, in black) compared to an average λ Boötis pattern (blue). We show two panels for each star, corresponding to elements with z < 32 and z > 32. See text for more details.

Current usage metrics show cumulative count of Article Views (full-text article views including HTML views, PDF and ePub downloads, according to the available data) and Abstracts Views on Vision4Press platform.

Data correspond to usage on the plateform after 2015. The current usage metrics is available 48-96 hours after online publication and is updated daily on week days.

Initial download of the metrics may take a while.